Poudre de sodium de sulfobutyléther bêta-cyclodextrine
IMG
VIDEO

Poudre de sodium de sulfobutyléther bêta-cyclodextrine

Poudre de sodium de sulfobutyléther bêta-cyclodextrine
Numéro CAS : 182410-00-0
Aspect : Poudre amorphe blanche à blanc cassé
Grade : Qualité injectable / Excipient pharmaceutique
Dosage : ≥ 99,0 % (sur une base anhydre)
Solubilité : Librement soluble dans l’eau
Endotoxines bactériennes : ≤ 10 UE/g
Norme exécutive : USP / EP / ChP

envoyer une demande

Description du produit


Qu'est-ce que la poudre de sodium de sulfobutyléther bêta-cyclodextrine ?


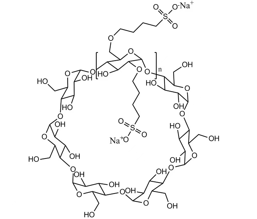
La poudre de sodium de sulfobutyléther bêta-cyclodextrine est un dérivé de β-cyclodextrine anionique hautement soluble dans l'eau utilisé comme excipient pharmaceutique. Il est produit en modifiant chimiquement la bêta-cyclodextrine avec des groupes éther sulfobutylique dans des conditions alcalines contrôlées, ce qui donne un sel de sodium doté d'excellentes propriétés solubilisantes.

Cet excipient de qualité injectable est conçu pour former des complexes d'inclusion stables et non covalents avec des ingrédients pharmaceutiques actifs (API) peu solubles. En encapsulant des molécules médicamenteuses, la poudre de sodium de sulfobutyléther bêta cyclodextrine améliore considérablement la solubilité, la stabilité et la biodisponibilité du médicament tout en réduisant l'irritation locale, l'hémolyse et la toxicité rénale.

En raison de son profil de sécurité élevé et de sa forte capacité de complexation, la poudre de sulfobutyléther bêta-cyclodextrine sodique est largement utilisée dans les formulations pharmaceutiques parentérales, en particulier pour les médicaments injectables antifongiques, antiviraux, oncologiques et cardiovasculaires. Il est conforme aux principales normes pharmacopées telles que USP et EP et convient aux applications pharmaceutiques cliniques et commerciales.


Spécifications de la poudre de sodium de sulfobutyléther bêta-cyclodextrine


Nom du produitmoi
Sulfobutyléther bêta-cyclodextrine sodique
N° CAS
182410-00-0
Apparence Poudre hygroscopique blanche ou presque blanche.
Norme exécutive USP/EP/ChP
Conditionnement 500 g/sac ; 1 kg/sac ; 10 kg/sac ; 10 kg/fût
Synonymes SBE-β-CD ; Éther sulfobutylique bêta-cyclodextrine ; Betadex sulfobutyléther sodique
ESSAI ≥99 %
Endotoxines bactériennes
≤10UE/g
Quantité minimale de commande 1 kg


Poudre de sodium de sulfobutyléther bêta-cyclodextrine COA


Quelle est l'utilisation et les avantages de la sulfobutyléther bêta-cyclodextrine (SBECD) ?

1. Utilisations de la sulfobutyléther bêta-cyclodextrine (SBECD)

Le sulfobutyl éther bêta cyclodextrine (SBECD) est principalement utilisé comme excipient pharmaceutique, notamment dans :


  • Formulations médicamenteuses injectables (parentérales)
  • Préparations ophtalmiques (oculaires)
  • Systèmes d'administration de médicaments par voie nasale et pulmonaire
  • Formulations d'API peu solubles dans l'eau, tels que des médicaments antifongiques, antiviraux, anticancéreux et cardiovasculaires


2. Avantages de la sulfobutyléther bêta-cyclodextrine (SBECD)


  • Améliore considérablement la solubilité dans l’eau des médicaments peu solubles
  • Améliore la stabilité du médicament en formant des complexes d'inclusion non covalents
  • Améliore la sécurité des médicaments, en particulier pour les formulations injectables
  • Réduit la toxicité rénale par rapport à certains solubilisants traditionnels
  • Minimise l’hémolyse et l’irritation au site d’injection
  • Contrôle le taux de libération des médicaments, améliorant ainsi les performances thérapeutiques
  • Masque l’odeur ou le goût désagréable des API
  • Haute solubilité aqueuse et faible toxicité, adapté à une utilisation parentérale

Pourquoi nous choisir ?


Plus de 20 ans d'expérience en fabrication

Avec plus de deux décennies d'expérience dédiée dans la fabrication de cyclodextrines et de dérivés de cyclodextrines, Xi'an Deli Biochemical Industry Co., Ltd. s'est bâtie une solide réputation en matière de qualité de produits, de stabilité des processus et d'approvisionnement fiable.


Capacité de production stable et à grande échelle

Nous exploitons des lignes de production à l'échelle industrielle d'une capacité annuelle de 500 tonnes d'hydroxypropyl Betadex et de 200 tonnes de Betadex Sulfobutyl Ether Sodium, garantissant un approvisionnement stable pour les applications commerciales et cliniques à long terme.


Assurance qualité de qualité pharmaceutique

Nos produits sont fabriqués selon un système de gestion de qualité strict, avec une zone propre dédiée de classe D conçue selon les exigences de la production pharmaceutique. Des tests complets en cours de processus et sur le produit final garantissent une excellente cohérence d’un lot à l’autre.


Capacités avancées d’analyse et de test

Équipé d'instruments analytiques modernes tels que HPLC, GC, IC, électrophorèse capillaire, FTIR et tests pris en charge par RMN, notre laboratoire est capable de répondre aux exigences pharmacopées de l'USP, de l'EP et du ChP, en soutenant le développement de formulations et la conformité réglementaire.


Soutien réglementaire et expérience du marché mondial

Nos produits clés, notamment l'Hydroxypropyl Betadex et le Betadex Sulfobutyl Ether Sodium, ont été enregistrés et déposés auprès de la FDA, démontrant notre expérience dans l'accompagnement des clients sur les marchés pharmaceutiques mondiaux.


Support technique orienté client

Nous fournissons une assistance technique professionnelle, une assistance en matière de documentation et des conseils liés à la formulation, en travaillant en étroite collaboration avec les clients depuis le début du développement jusqu'à l'approvisionnement commercial à long terme.


Qualification de l'entreprise

Certificats de Xi'an Deli Biochemical Industry Co., Ltd.

Au fil des années, Xi'an Deli Biochemical Industry Co., Ltd. s'est continuellement engagée dans l'optimisation des processus de fabrication et la mise en place d'un système complet de gestion de la qualité pour les cyclodextrines et leurs dérivés.


FAQ

1. Êtes-vous un fabricant ou une société commerciale ?

Nous sommes un fabricant professionnel spécialisé dans la cyclodextrine et les dérivés de la cyclodextrine. Tous les produits sont fabriqués dans notre propre usine de fabrication à Xi'an, en Chine.


2. Quels sont vos principaux produits ?

Nos principaux produits sont l'Hydroxypropyl Betadex (HPBCD) et le Betadex Sulfobutyl Ether Sodium (SBECD), qui sont largement utilisés comme excipients pharmaceutiques, notamment dans les formulations injectables et orales.


3. Vos produits répondent-ils aux normes de la pharmacopée ?

Oui. Nos produits sont conformes aux exigences de l'USP, de l'EP et de la pharmacopée chinoise. Des certificats d’analyse (COA) complets sont fournis avec chaque lot.


4. Fournissez-vous des matériaux de qualité injectable ?

Oui. Nous sommes spécialisés dans les dérivés de cyclodextrine de qualité injectable avec un contrôle strict des impuretés, des endotoxines et de la cohérence d'un lot à l'autre.


5. Quelle est votre capacité de production ?

Hydroxypropyl Betadex : 500 tonnes par an

Betadex Sulfobutyl Ether Sodium : 200 tonnes par an


6. Fournissez-vous des échantillons pour évaluation ?

Oui. Des échantillons gratuits sont disponibles sur demande pour le développement et les tests de formulation.


7. Pouvez-vous prendre en charge un approvisionnement commercial à long terme ?

Oui. Avec des lignes de production à grande échelle et des systèmes qualité stables, nous soutenons l’approvisionnement à long terme et à l’échelle commerciale des clients pharmaceutiques mondiaux.


8. Quels systèmes de qualité suivez-vous ?

Nous opérons sous la norme ISO 9001 : 2015, soutenu par des équipements analytiques avancés et un laboratoire de contrôle qualité dédié pour garantir l’homogénéité et la conformité des produits.



Balises actives: Poudre de sodium de sulfobutyléther bêta cyclodextrine, fabricants, fournisseurs, Chine, usine, vrac, échantillon gratuit, fabriqué en Chine, en stock, vente en gros, acheter

Catégorie associée

envoyer une demande

N'hésitez pas à faire votre demande dans le formulaire ci-dessous. Nous vous répondrons dans les 24 heures.
icon
X
Nous utilisons des cookies pour vous offrir une meilleure expérience de navigation, analyser le trafic du site et personnaliser le contenu. En utilisant ce site, vous acceptez notre utilisation des cookies. politique de confidentialité
Rejeter Accepter