X
IMG
VIDEO

Excipient pharmaceutique injectable de sodium de bêta-cyclodextrine de sulfobutyléther de SBE-β-CD

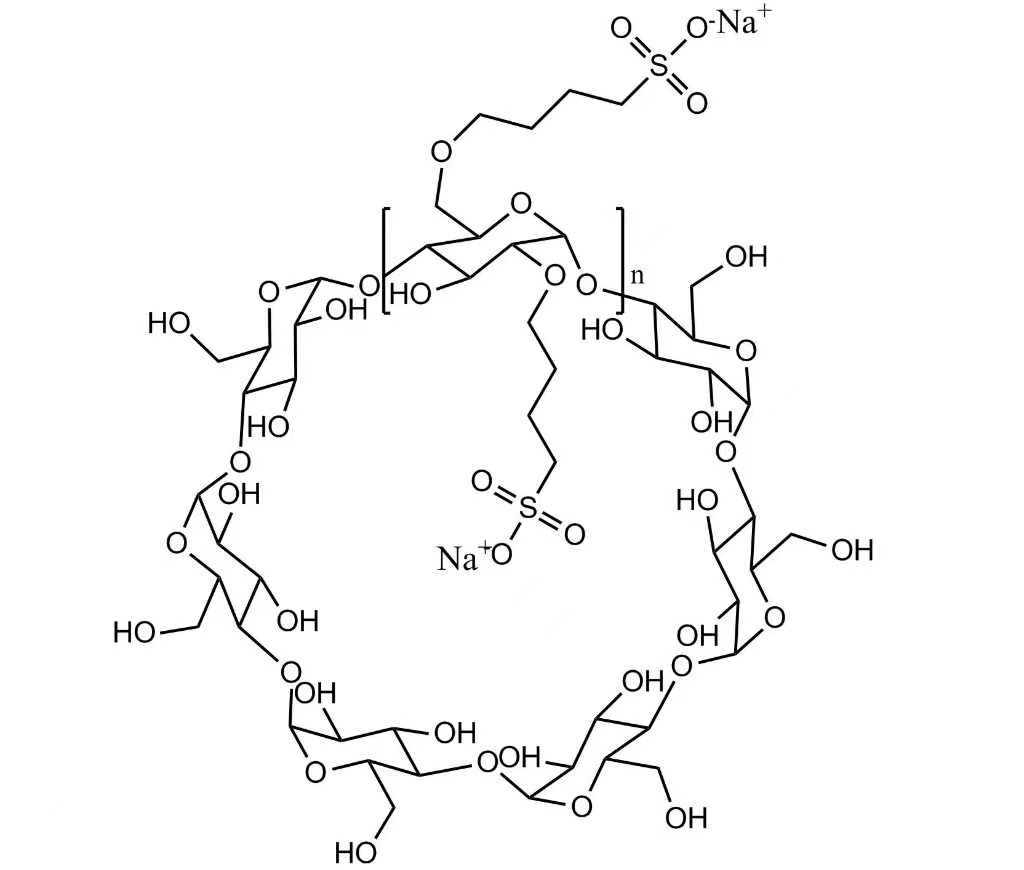
Excipient pharmaceutique injectable de sodium de bêta-cyclodextrine de sulfobutyléther de SBE-β-CD en gros fabriqué en Chine à partir de DELI. SBE-β-CD (Sulfobutylether Beta Cyclodextrin Sodium) est un excipient pharmaceutique injectable hautement soluble dans l'eau utilisé pour améliorer la solubilité, la stabilité et la sécurité des API peu solubles grâce à la formation de complexes d'inclusion réversibles.

envoyer une demande

Description du produit


Excipient pharmaceutique injectable de sodium de bêta-cyclodextrine de sulfobutyléther de SBE-β-CD

Le SBE-β-CD (Sulfobutylether Beta Cyclodextrin Sodium) est un dérivé de β-cyclodextrine anionique hautement soluble dans l'eau conçu pour les applications pharmaceutiques injectables. Il forme des complexes d'inclusion stables et non covalents avec des ingrédients pharmaceutiques actifs (API), améliorant considérablement la solubilité, la stabilité et la sécurité des médicaments peu solubles dans l'eau.

En raison de son excellente biocompatibilité, de sa faible activité hémolytique et de son profil de toxicité contrôlée, le SBE-β-CD est largement utilisé dans les systèmes d'administration parentérale de médicaments dans plusieurs domaines thérapeutiques.


Avantages clés


SBE-β-CD améliore la solubilité aqueuse des API hydrophobes tout en maintenant la sécurité de la formulation. Comparé aux agents solubilisants traditionnels, il présente une toxicité rénale réduite et une moindre irritation au niveau des sites d'injection, ce qui le rend adapté à une administration parentérale répétée.


Applications pharmaceutiques


SBE-β-CD est principalement utilisé dans des formulations injectables et stériles, notamment des formes posologiques intraveineuses, intramusculaires et sous-cutanées. Il est couramment utilisé dans les produits médicamenteux antiviraux, antifongiques, oncologiques et cardiovasculaires, où une solubilité élevée et une stabilité de formulation sont essentielles.


Spécifications du produit


Nom chimique Sulfobutyléther bêta-cyclodextrine sodique
N° CAS 182410-00-0
Apparence Poudre amorphe blanche à blanc cassé
Grade Excipient pharmaceutique injectable
Solubilité Librement soluble dans l'eau
Essai 95,0 % – 105,0 % (base anhydre)
Degré de substitution moyen (DS) 6.2 – 6.9
Endotoxines bactériennes ≤ 10 UE/g
Normes USP/EP
Durée de conservation 36 mois


Spécifications d'emballage


Les options d'emballage disponibles incluent 500 g/sac, 1 kg/sac, 10 kg/sac et 10 kg/fût. Un emballage personnalisé est disponible sur demande pour un approvisionnement commercial.


Assurance qualité


Tous les lots de SBE-β-CD sont fabriqués selon un système de gestion de qualité strict et sont soumis à des tests analytiques complets. Les paramètres de qualité clés tels que les impuretés, les endotoxines, le degré de substitution et la cohérence d'un lot à l'autre sont étroitement contrôlés.

Chaque expédition est accompagnée d'un certificat d'analyse (COA) pour garantir une traçabilité complète et une conformité réglementaire.


Qualifications et certifications de l'entreprise


Xi'an Deli Biochemical Industry Co., Ltd. est une entreprise de haute technologie spécialisée dans la recherche, le développement et la fabrication de cyclodextrines et de leurs dérivés. Fondée en 1999, l'entreprise possède plus de 26 ans d'expérience dans l'industrie.

La société exploite des lignes de production d’excipients pharmaceutiques dédiées avec des zones de fabrication propres et contrôlées. Son système de gestion de la qualité a obtenu la certification ISO 9001 et ses principaux produits sont enregistrés ou déposés auprès des autorités réglementaires compétentes, notamment la FDA.


Capacité de fabrication


Xi'an Deli Biochemical a établi une capacité de production commerciale à grande échelle pour le SBE-β-CD, garantissant ainsi un approvisionnement fiable à long terme pour les clients pharmaceutiques mondiaux.

La capacité de production annuelle dépasse 200 tonnes métriques, avec une taille de lot typique d'environ 2,5 tonnes métriques.


FAQ

Q1 : Quelle est la fonction principale du SBE-β-CD dans les formulations injectables ?
R : SBE-β-CD agit principalement comme solubilisant et stabilisant, améliorant la solubilité aqueuse et la sécurité des API peu solubles dans l’eau grâce à la formation de complexes d’inclusion réversibles.


Q2 : Le SBE-β-CD convient-il à une administration intraveineuse répétée ?
R : Oui. Le SBE-β-CD présente une faible activité hémolytique et une toxicité rénale réduite par rapport aux agents solubilisants traditionnels, ce qui le rend adapté à une utilisation parentérale répétée.


Q3 : Votre produit est-il conforme aux normes de la pharmacopée ?
R : Notre SBE-β-CD est conforme aux exigences USP et EP et est fabriqué selon un système de gestion de la qualité certifié.


Q4 : La documentation technique peut-elle être fournie ?
R : Oui. Le COA, les spécifications et les données techniques sont disponibles sur demande.



Balises actives: Excipient pharmaceutique injectable de sodium de sulfobutyléther bêta-cyclodextrine de SBE-β-CD, fabricants, fournisseurs, Chine, usine, vrac, échantillon gratuit, fabriqué en Chine, en stock, vente en gros, acheter

Catégorie associée

envoyer une demande

N'hésitez pas à faire votre demande dans le formulaire ci-dessous. Nous vous répondrons dans les 24 heures.
icon
X
Nous utilisons des cookies pour vous offrir une meilleure expérience de navigation, analyser le trafic du site et personnaliser le contenu. En utilisant ce site, vous acceptez notre utilisation des cookies. politique de confidentialité
Rejeter Accepter